不同组织任意结构相织物的紧度与紧密率
数码印花网2023-04-02 11:18:57数码印花资讯480来源:数码印花
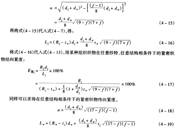
现在研究不同组织在任意结构相条件下的紧密率。
将式(4—1)代入式(4—9)中可得:




可见,这种织物为经向紧密组织,而且纱线之间发生较多的挤压变形。
比较例1与例4还可以看出,即使是相同的经纬纱线密度、相同组织的织物,当结构相不同时,其紧密织物的紧度(经向与纬向)是不相同的,即织物的可密性是不同的。
AAA复合面料网ASE3RETRUY7I8OFG

发表评论