棉纤维成熟度的测定方法
数码印花网2023-05-23 10:29:19数码印花资讯381来源:数码印花
棉纤维成熟度的测定方法较多,常用的有中腔胞壁对比法、偏光仪法等。
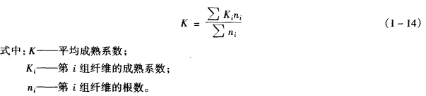
1.中腔胞壁对此法 中腔胞壁对比法是通过显微镜目测棉纤维的中腔宽度与胞壁厚度的比值,以平均成熟系数做指标来检测棉纤维成熟度的高低。其计算式如下:

根据需要还可以计算成熟系数的标准差、变异系数和未成熟纤维百分数(成熟系数在0.75及以下的纤维根数占测定纤维总根数的百分数)等指标。
2.偏光仪法 采用棉纤维偏光成熟度仪,根据棉纤维的双折射性质,应用光电方法测量偏振光透过棉纤维和检偏片后的光强度。由于光强度与棉纤维的成熟度相关,成熟度高光强度强,成熟度低光强度弱,因而通过转化计算可求得棉纤维的成熟系数、成熟度比、成熟纤维百分率等指标。
AAA功能性面料网JYUIYFHGE

发表评论